Integumentary system;
This site is to serve as my note-book and to effectively communicate with my students and collaborators. Every now and then, a blog may be of interest to other researchers or teachers. Views in this blog are my own. All rights of research results and findings on this blog are reserved. See also http://youtube.com/c/hongqin @hongqin
Thursday, December 31, 2020
science olympia
Integumentary system;
Wednesday, December 30, 2020
SARS-COV-2 entry to cell lines
Cell Line and Plasmids. HEK293T, HeLa, Calu-3, and MRC-5 cells were obtained
from the American Type Culture Collection and cultured in Dulbecco’s
Cell entry mechanisms of SARS-CoV-2
Jian Shanga,1, Yushun Wana,1, Chuming Luoa,1, Gang Yea, Qibin Genga, Ashley Auerbacha, and Fang Lia,2
aDepartment of Veterinary and Biomedical Sciences, College of Veterinary Medicine, University of Minnesota, Saint Paul, MN 55108
Estimating the genome-wide contribution of selection to temporal allele frequency change
https://www.pnas.org/content/117/34/20672
Estimating the genome-wide contribution of selection to temporal allele frequency change
Vince Buffalo and Graham Coop
PNAS August 25, 2020 117 (34) 20672-20680; first published August 12, 2020;
https://github.com/vsbuffalo/cvtk
DNA methylation, aging, and tissue and cell types
Understanding the Relevance of DNA Methylation Changes in Immune Differentiation and Disease, Carlos de la Calle-Fabregat,† Octavio Morante-Palacios,† and Esteban Ballestar*
Immune cells are one of the most complex and diverse systems in the human organism. Such diversity implies an intricate network of different cell types and interactions that are dependently interconnected. The processes by which different cell types differentiate from progenitors, mature, and finally exert their function requires an orchestrated succession of molecular processes that determine cell phenotype and function. The acquisition of these phenotypes is highly dependent on the establishment of unique epigenetic profiles that confer identity and function on the various types of effector cells. These epigenetic mechanisms integrate microenvironmental cues into the genome to establish specific transcriptional programs. Epigenetic modifications bridge environment and genome regulation and play a role in human diseases by their ability to modulate physiological programs through external stimuli. DNA methylation is one of the most ubiquitous, stable, and widely studied epigenetic modifications. Recent technological advances have facilitated the generation of a vast amount of genome-wide DNA methylation data, providing profound insights into the roles of DNA methylation in health and disease.
What does "stable" methylation means?
DNA methylation, particularly cytosine methylation, is the best-studied epigenetic modification
It consists of the addition of a methyl group to the carbon 5 (5meC) of cytosine-followed-by-guanine dinucleotides (CG or CpG sites). It is characterized by its stability and heritability,
CpG are often found in vertebrate promoters.
DNA methylation regulation is essential for differentiation of human stem cells.
CpG islands is pivotal in long-term gene silencing, x-chromosome inactivation, genomic imprinting and pre-mRNA alternative splicing.
important reviews:
Goldberg, A.D.; Allis, C.D.; Bernstein, E. Epigenetics: A Landscape Takes Shape. Cell 2007, 128, 635–638.
Jones, P.A. Functions of DNA methylation: Islands, start sites, gene bodies and beyond. Nat. Rev. Genet.
2012, 13, 484–492.
Peer-led Team Learning (PLTL)
Eric Voss, SIU Edwardsville.
A Little Help from My Friends: Peer Led Team Learning Before and After COVID-19
Friday, November 13, 2020
3:00 – 4:30 pm: Active Learning Strategies in STEM Education
Peer-led Team Learning (PLTL) is a model of active learning that introduces peer-led workshops as an integral part of undergraduate STEM courses. Students who have done well in the course are recruited and trained to become peer-leaders. The peer-leaders meet with small groups of six to ten students each week for one hour to discuss, debate, and engage in problem solving related to the course material. PLTL originated in a General Chemistry course at the City College of New York in the 1990s. Early evidence of improved student attitudes and performance led to further study and development of PLTL by a national team, which resulted in more widespread adoption of PLTL in a variety of science, mathematics, and engineering courses. Very early on, several SIUE chemistry faculty members attended PLTL training sessions sponsored by the National Science Foundation and subsequently implemented PLTL workshops into the SIUE on-sequence General Chemistry courses. Since then, implementation has expanded into all first-year chemistry courses and several biology courses. Due to COVID‑19, PLTL workshops have transitioned from face-to-face to online synchronous sessions, with new challenges and opportunities. Student performance data, student attitudes, peer-leader training methods, workshop material development, scheduling, space allocation, institutionalization, and sustainability of PLTL will be discussed in this webinar. Questions prior to the webinar?
Tuesday, December 29, 2020
ggplot themes cutomerize
https://themockup.blog/posts/2020-12-26-creating-and-using-custom-ggplot2-themes/
Monday, December 28, 2020
aging and COVID19 reading list
List provided by Dr. J Choy.
papers that look at methylation changes as a function of age - this might be a good place to start to see if any genes related to the SARS infection are methylated in old cells or vice versa?
https://www.nature.com/USA 2020 election results by counties
MIT election night 2020
https://github.com/MEDSL/election_night2020
2020 results by counties
https://github.com/openelections
2004, 2008, 2012
https://github.com/helloworlddata/us-presidential-election-county-results
Sunday, December 27, 2020
commuting operator model of entanglement
commuting operator model of entanglement
https://www.quantamagazine.org/landmark-computer-science-proof-cascades-through-physics-and-math-20200304/
MIP = RE, computer science and math in 2020
https://www.quantamagazine.org/quantas-year-in-math-and-computer-science-2020-20201223/
Laplacian matrix
Laplacian mixture modeling for network analysis and unsupervised learning on graphs
https://journals.plos.org/plosone/article?id=10.1371/journal.pone.0204096
liquid wrapping GAN
https://graspcoding.com/giveaway/
https://github.com/agermanidis/Liquid-Warping-GAN
@misc{liu2020liquid,
title={Liquid Warping GAN with Attention: A Unified Framework for Human Image Synthesis},
author={Wen Liu and Zhixin Piao, Zhi Tu, Wenhan Luo, Lin Ma and Shenghua Gao},
year={2020},
eprint={2011.09055},
archivePrefix={arXiv},
primaryClass={cs.CV}
}
@InProceedings{lwb2019,
title={Liquid Warping GAN: A Unified Framework for Human Motion Imitation, Appearance Transfer and Novel View Synthesis},
author={Wen Liu and Zhixin Piao, Min Jie, Wenhan Luo, Lin Ma and Shenghua Gao},
booktitle={The IEEE International Conference on Computer Vision (ICCV)},
year={2019}
}
Friday, December 25, 2020
Blokh and Stambler, 2016, information theory for aging
David Blokha, Ilia Stamblerb,2016.
p8, BS16:
David Sinclair's information theory of aging
lifespan - Why we age and why don't have to. David Sinclair
Sinclair claimed that he had the idea of the Information Theory of Aging on October 28, 1996, page 35, with a hand-written title provided therein.
Sinclair presented the arguments that DNA mutation is not a cause of aging, but the chaos air of epigenome such as DNA methylation is the major cause of aging.
Sinclair claims that "aging is a loss of information".
Hong think this is NOT right, at least based on Shannon's information formula, H = - sum( p* log(p)) , because in chaotic old aging, there would be more states and more randomness, so information entropy would increase not decrease. So, it seems that Shanon's H would increase during aging.
blogs on Sinclair's lifespan book:
https://hplus.club/blog/a-summary-of-david-sinclairs-information-theory-of-aging/
https://medium.com/intuitionmachine/deep-learning-and-solving-aging-21eaaa6eec8b#:~:text=David%20Sinclair's%20%E2%80%9Cinformation%20theory%20of,an%20organism%20eventually%20stops%20growing.
A good contradictory riddle in Sinclair's information theory of aging and reprogramming for youth:
https://hplus.club/blog/david-sinclairs-level-3-reversing-aging-with-the-yamanaka-factors/
Wednesday, December 23, 2020
Monday, December 21, 2020
cellular aging models, references
C. Lopez-Otin, M. Blasco, L. Partridge, M. Serrano, G. Kroemer, The hallmarks of aging. Cell 153, 1194–1217 (2013).
T. Kirkwood, Understanding the odd science of aging. Cell 120, 437–447 (2005).
A. Kowald, T. Kirkwood, A network theory of ageing: The interactions of defective mitochondria, aberrant proteins, free radicals and scavengers in the ageing process. Mutat. Res. 316, 209–236 (1996).
C. Soti, P. Csermely, Aging and molecular chaperones. Exp. Gerontol. 38, 1037–1040 (2003).
6. J. Hoeijmakers, DNA damage, aging, and cancer. N. Engl. J. Med. 361, 1475–1485 (2009).
7. R. Bahar et al., Increased cell-to-cell variation in gene expression in ageing mouse heart. Nature 441, 1011–1014 (2006).
CDC pulse survey, anxiety
https://data.cdc.gov/NCHS/Indicators-of-Anxiety-or-Depression-Based-on-Repor/8pt5-q6wp/data
https://data.cdc.gov/NCHS/Indicators-of-Anxiety-or-Depression-Based-on-Repor/8pt5-q6wp/data
Sunday, December 20, 2020
jianxin wang, dynamic protein network
Construction and application of dynamic protein interaction network based on time course gene expression data
Wang, Yi Pan, 2013, Proteomics.
Euler's formula
https://en.wikipedia.org/wiki/Euler%27s_formula
This can be proved by Taylor's series.
Feymanb called this "our jewel" and "the most remarkable formula in mathematics" in his physics lecture notes.
Laplace transformation to solve a differential equation
Laplace transform to solve a differential equation
Laplace transform
https://en.wikipedia.org/wiki/Laplace_transform
"In particular, it transforms differential equations into algebraic equations and convolution into multiplication.[1][2][3] "
https://mathvault.ca/laplace-transform/
In fact, it takes a time-domain function, where
It seems to me that Fourier transformation can be viewed as a special form of Laplace transformation when the alpha is zero.
Laplace transformation is not Lapalce operator
https://en.wikipedia.org/wiki/Laplace_operator
canonical correlation analysis
https://en.wikipedia.org/wiki/Canonical_correlation#Hypothesis_testing
Saturday, December 19, 2020
Ayalew SIR model script
https://www.glowscript.org/#/user/mayalew/folder/MyPrograms/program/EpiModeling/edit
Wednesday, December 16, 2020
Tuesday, December 15, 2020
journals for software publication
https://www.software.ac.uk/which-journals-should-i-publish-my-software
Monday, December 14, 2020
sino biolgical, List of SARS-CoV-2 Spike Mutants
| ||
| This mutation is of particular concern, because it occurs at a conservative domain of the receptor binding domain (RBD) directly involved in ACE2 binding. Results from some preliminary studies suggest the Y453F mutation affects the ability of the Spike protein to bind with ACE2, while others demonstrate that the mutated spike can escape from detection from a commercial anti-S antibody. | ||
| Although there is still no clear evidence indicating this mutation, or any other mutation like the popular D614G, has any clinical significance, the characteristics of the mutations need to be thoroughly investigated in the context of vaccine and antibody therapy. | ||
| Sino Biological has launched the recombinant Y453F RBD protein. This product is the newest addition to a large library of recombinant spike variants (full list here). These proteins can be used to evaluate the efficacy of the antibodies and vaccination. | ||
| Full List of SARS-CoV-2 Spike Mutants | ||
Friday, December 11, 2020
biological clocks, Forger,
Biological Clocks, Rhythms, and Oscillations
Daniel B. Forger.
https://www.ncbi.nlm.nih.gov/books/NBK544607/
https://www.ncbi.nlm.nih.gov/books/NBK544607/pdf/Bookshelf_NBK544607.pdf
Forger said that many bio clock use the same mathematic equations (models). convergent evolution. Forger said that Hoff bifurcation seems to be the common cause in all biological clocks.
J Tyson seems to have strong reservation on Forger's argument of evolution of the general math equation.
General structure of clocks.
not all bacteria has circadian clocks.
Dynamo: Mapping Vector Field of Single Cells
Dynamo: Mapping Vector Field of Single Cells
Inclusive model of expression dynamics with metabolic labeling based scRNA-seq / multiomics, vector field reconstruction and potential landscape mapping.
https://github.com/aristoteleo/dynamo-release
Thursday, December 10, 2020
advantages of temporal network, continued
Li, ..., Barabasi, Science, 2017,
temporal network advantages.Energy needed from state vector x0 to final state xf
E(x0, xf) = 1/2 d^T x W^01_eff x d
where Weff encode the energy structure of the network.
27. J. Wang, X. Peng, M. Li, Y. Pan, Construction and application of dynamic protein interaction
network based on time course gene expression data. Proteomics 13, 301–312 (2013).
doi:10.1002/pmic.201200277 Medline
In Figure S6, a digram is presented to describe the construct of a yeast dynamic PPI. An interaction is consider as active when both protein are active at that time point. based on X. Tang, J. Wang, B. Liu, M. Li, G. Chen, Y. Pan, A comparison of the functional modules identified from time course and static PPI network data. BMC Bioinformatics 12, 339
(2011). doi:10.1186/1471-2105-12-339 Medline
https://bmcbioinformatics.biomedcentral.com/articles/10.1186/1471-2105-12-339#Sec17
In Fig 2. Protein networks used contain only 84, 74, and 85 nodes. So, it seems Li17 only used a small subset of PPI.
Li17 fixed the number of driver nodes to 20% of the nodes. Hong did not find the criteria on the reasons behind this choice.
draw a graph diagram on latex
https://www.baeldung.com/cs/latex-drawing-graphs
Tuesday, December 8, 2020
PH525x series - Biomedical Data Science
http://genomicsclass.github.io/book/
https://github.com/genomicsclass/labs
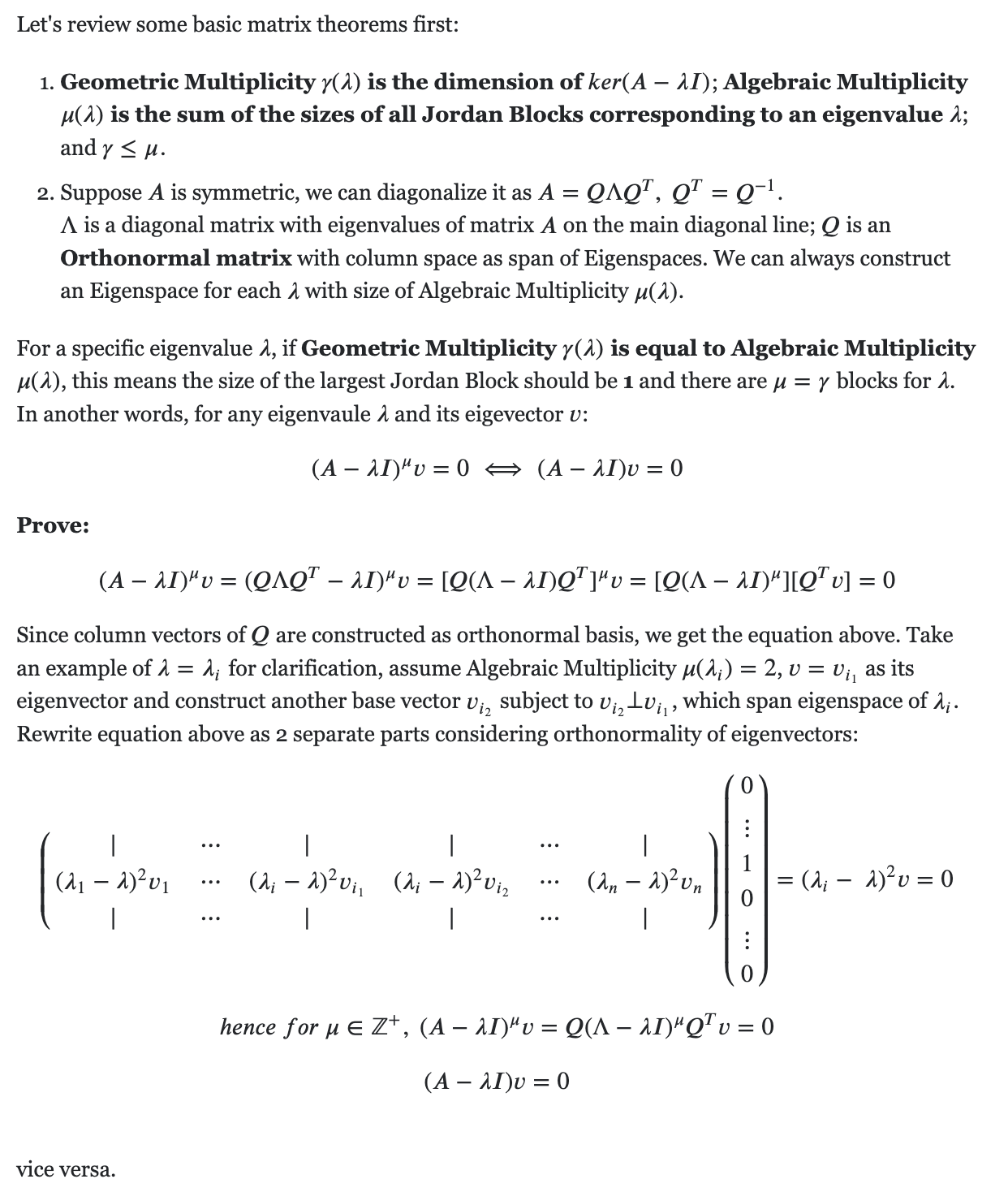
geometric multiplicity == algebraic multiplicity-for-a-symmetric-matrix
good post to prove that geometric and algebraic multiplicity are the same for a symmetric matrix.
yeast double strand breaks, γ-H2AX and γ-H2B
Dynamics of yeast histone H2A and H2B phosphorylation in response to a double-strand break
https://www.nature.com/articles/nsmb.2737
In budding yeast, a single double-strand break (DSB) triggers extensive Tel1 (ATM)- and Mec1 (ATR)-dependent phosphorylation of histone H2A around the DSB, to form γ-H2AX
In Saccharomyces cerevisiae, histone H2A comprises the great majority of H2A isoforms and is phosphorylated on S129; we will refer to this modification also as γ-H2AX. Both in yeast and in mammals, γ-H2AX rapidly spreads on large chromatin domain (on more than a megabase in mammals and about 50 kb in yeast)
Both γ-H2AX and γ-H2B are strongly diminished over highly transcribed regions.
coding theory
https://en.wikipedia.org/wiki/Coding_theory
this is related to encryption and error detection.
Is this related to how DNA use quaternary code and basepairing?
Neuronal Dynamics
neuronal dynamics, from single neurons to networks and models of cognition
https://neuronaldynamics.epfl.ch/online/index.html
AI notes
https://hai.stanford.edu/blog/what-computations-role-neuroscience
AI, and what I call NI — natural intelligence — going to converge at some point and really be use
our brain contains about 100 billion of neurons.
"One individual neuron — and our brain contains about 100 billion of them — is incredibly complex: incredibly complex shapes and incredibly complex biophysics, and different types of neurons in our brain have different types of physics. They’re profoundly non-linear, and they are hooked together in these synapses and ways that form circuits, and understanding and mapping those circuits is a big fundamental problem in neuroscience.
But something that should give all of us great pause is that there are these substances that are released locally in the brain called neuromodulator substances, and they actually diffuse to thousands of synapses in the space around them in the brain, and they can completely change that circuitry. This is beautiful, beautiful work by Eve Marder, who spent her career studying this neuromodulation. You take one group of neurons that are hooked up in a particular way, spritz on this neuromodulator, and suddenly they’re a different circuit, literally."
Newsome: And another feature of brain architecture, that you and I have talked about offline together, is that brain architecture is almost universally recurrent. So area A of the brain has a projection to area B. You can kind of imagine that as one layer in the deep convolutional network to another layer. But inevitably, B projects back to A. And you can’t understand the activity of either area without understanding both, and the non-linear actions, the dynamical interactions that occur to produce a state that involves multiple layers simultaneously.
latexdiff
Monday, December 7, 2020
CpG density and lifespan correlation in vertebrates
Mayne B 2019, a genomic predictor of lifespan in vertebrates, Sci Rep, 9, 17866
McLain and Faulk, 2018. Evolution of CpG density and lifespan in conserved primate and mammalian promoters. Aging, 10, 561-572.
Friday, December 4, 2020
online biology RCN
https://www.nsf.gov/pubs/2021/nsf21026/nsf21026.jsp?WT.mc_id=USNSF_25&WT.mc_ev=click
Al-hasmi talk, conformational penalty
https://sites.duke.edu/alhashimilab/research/
free energy tax
free engery and probability landscape is connected by logrithm
Tax impairs DNA replication forks and increases DNA breaks in specific oncogenic genome regions
Hassiba Chaib-Mezrag, Delphine Lemaçon, Hélène Fontaine, Marcia Bellon, Xue Tao Bai, Marjorie Drac, Arnaud Coquelle, and Christophe Nicot
. https://www.ncbi.nlm.nih.gov/pmc/articles/PMC4168069/This is related to our cross-entropy work on aging analysis





